Danh sách hơn 800 trường hợp vi phạm tốc độ bị phạt nguội ở Bắc Ninh
GĐXH - Trong tuần từ ngày 20/4/2026 đến ngày 26/4/2026, Phòng Cảnh sát giao thông Công an tỉnh Bắc Ninh đã phát hiện và lên danh sách phạt nguội tổng cộng 883 trường hợp vi phạm giao thông.
Ngày 29/4, thông tin từ Phòng CSGT - Công an tỉnh Bắc Ninh cho biết, trong tuần từ ngày 20/4/2026 đến ngày 26/4/2026, qua phương tiện thiết bị kỹ thuật nghiệp vụ, Phòng Cảnh sát giao thông Công an tỉnh Bắc Ninh đã phát hiện tổng cộng 883 trường hợp vi phạm giao thông, cụ thể là lỗi chạy quá tốc độ.

Xe ô tô con vi phạm về tốc độ bị lực lượng CSGT phát hiện. Ảnh: Phòng CSGT - Công an tỉnh Bắc Ninh
Phòng Cảnh sát giao thông Công an tỉnh Bắc Ninh đề nghị chủ phương tiện, người vi phạm chủ động tra cứu, chấp hành việc xử lý theo quy định.
Đồng thời, khuyến cáo người dân nghiêm chỉnh tuân thủ quy định về tốc độ, chú ý quan sát biển báo giao thông, điều khiển phương tiện an toàn, góp phần phòng ngừa tai nạn và bảo đảm trật tự, an toàn giao thông trên địa bàn.
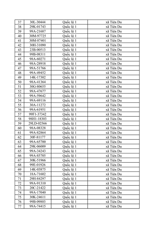
Danh sách các trường hợp bị phạt nguội tại Bắc Ninh từ 20/4 - 26/4:






















Bề ngoài khiêm tốn, bên trong đa tài: 4 con giáp thực lực 'không phải dạng vừa'
Đời sống - 2 giờ trướcGĐXH - Trong 12 con giáp, có những người điềm đạm, không phô trương nhưng lại sở hữu năng lực vượt trội.
Hà Nội: Xe máy va chạm xe tải trong đêm mưa, đôi nam nữ tử vong tại chỗ
Đời sống - 2 giờ trướcGĐXH - Một vụ tai nạn giao thông nghiêm trọng vừa xảy ra vào đêm qua (28/4) trên tuyến đường trục phía Nam đoạn qua xã Tam Hưng (TP Hà Nội). Chiếc xe máy chở theo hai người đã va chạm mạnh với xe tải khiến cả hai nạn nhân tử vong tại chỗ, hiện trường vương vãi nhiều mảnh vỡ.
Hàng triệu gia đình mừng thầm, 5 loại đất không giấy tờ này sẽ được cấp sổ đỏ từ 2026 theo quy định mới nhất của Luật Đất đai
Đời sống - 3 giờ trướcGĐXH - Theo quy định của Luật Đất đai những loại đất không giấy tờ nào sẽ được cấp sổ đỏ? Dưới đây là những trường hợp cụ thể bạn đọc có thể tham khảo.
Tháng sinh Âm lịch của người đi đến đâu được quý đến đó
Đời sống - 4 giờ trướcGĐXH - Theo tử vi, những người sinh vào các Âm lịch này sở hữu tính cách ôn hòa, giàu tình cảm, dễ dàng xây dựng các mối quan hệ bền vững.
Thông tin 'gia đình chi tiền cứu nạn' vụ nam sinh mất tích ở Tam Đảo là không đúng sự thật
Đời sống - 19 giờ trướcGĐXH - Lãnh đạo xã Đạo Trù (Phú Thọ) cho biết, thông tin về việc gia đình nam sinh viên mất tích khi leo núi Tam Đảo chi tiền cho lực lượng tìm kiếm cứu nạn là không đúng sự thật.
Danh sách 143 biển số xe máy, ô tô vi phạm giao thông bị phạt nguội từ ngày 20 - 26/4 tại Hưng Yên
Đời sống - 19 giờ trướcGĐXH - Phòng CSGT, Công an tỉnh Hưng Yên công bố danh sách 143 lượt phương tiện vi phạm Luật trật tự, an toàn giao thông đường bộ bị xử lý phạt nguội từ ngày 20/4/2026 đến ngày 26/4/2026.
Hà Nội: Người dân hối hả dọn dẹp, bàn giao mặt bằng làm đường Vành đai 2,5
Đời sống - 20 giờ trướcGĐXH - Sau hơn một tháng triển khai theo lệnh công trình khẩn cấp, dự án đường Vành đai 2,5 đoạn từ Khu đô thị mới Dịch Vọng đến đường Dương Đình Nghệ (TP Hà Nội) đang chứng kiến những chuyển động mạnh mẽ...
Hàng loạt thu nhập được miễn thuế thu nhập cá nhân từ ngày 1/7/2026, hàng triệu người dân cần biết ngay
Đời sống - 1 ngày trướcGĐXH - Từ ngày 1/7/2026, nhiều khoản thu nhập được miễn thuế thu nhập cá nhân theo quy định của Luật Thuế thu nhập cá nhân 2025. Đó là những khoản thu nhập nào?
Dự báo tử vi của các con giáp Tý, Sửu, Dần, Thìn, Tỵ, Ngọ, Dậu, Tuất, Hợi trong tuần nghỉ lễ 30/4 - 1/5
Đời sống - 1 ngày trướcGĐXH - Chuyên gia phong thủy đã có dự báo tử vi cho các con giáp Tý, Sửu, Dần, Thìn, Tỵ, Ngọ, Dậu, Tuất, Hợi trong tuần nghỉ lễ 30/4 - 1/5. Hãy cùng khám phá những điều bất ngờ trong kỳ nghỉ lễ này.
Điểm danh con giáp đen đủi nhất tháng 5: Công việc trục trặc, tiền bạc hao hụt
Đời sống - 1 ngày trướcGĐXH - Tháng 5 được dự báo là giai đoạn không mấy dễ dàng với một số con giáp khi vận trình có nhiều biến động.
3 con giáp đón nhận nhiều tin vui, tài lộc thịnh vượng những ngày nghỉ lễ 30/4 - 1/5
Đời sốngGĐXH – Chuyên gia phong thủy Nguyễn Song Hà cho biết, đay là 3 con giáp sẽ đón nhận tin vui và tài chính thịnh vượng trong dịp nghỉ lễ 30/4 - 1/5.
